Thư Viện - luyenthiclc.edu.vn
Giới thiệu
Trang chủ
Tin tức
Học sinh ưu tú
Đào tạo & Tuyển sinh
Thư Viện
Toán
Văn
Anh
Lý
Hóa
Sinh
Sử
Địa
Những gương mặt mới
Liên hệ
Download tài liệu
Nhận xét- Đánh giá
Trang chủ
»
Thư Viện
Loading...
Tất cả danh mục
Tin tức
Những gương mặt mới
học sinh ưu tú
Giới thiệu
Download
Địa
Sử
Sinh
Hóa
Lý
Anh
Văn
Toán
Bản Tin Thông Báo
Liên hệ
Nhận xét - Đánh giá
Cảnh báo
Thiết lập các thành phần VirtueMart cho mục menu
Theo dõi RSS này
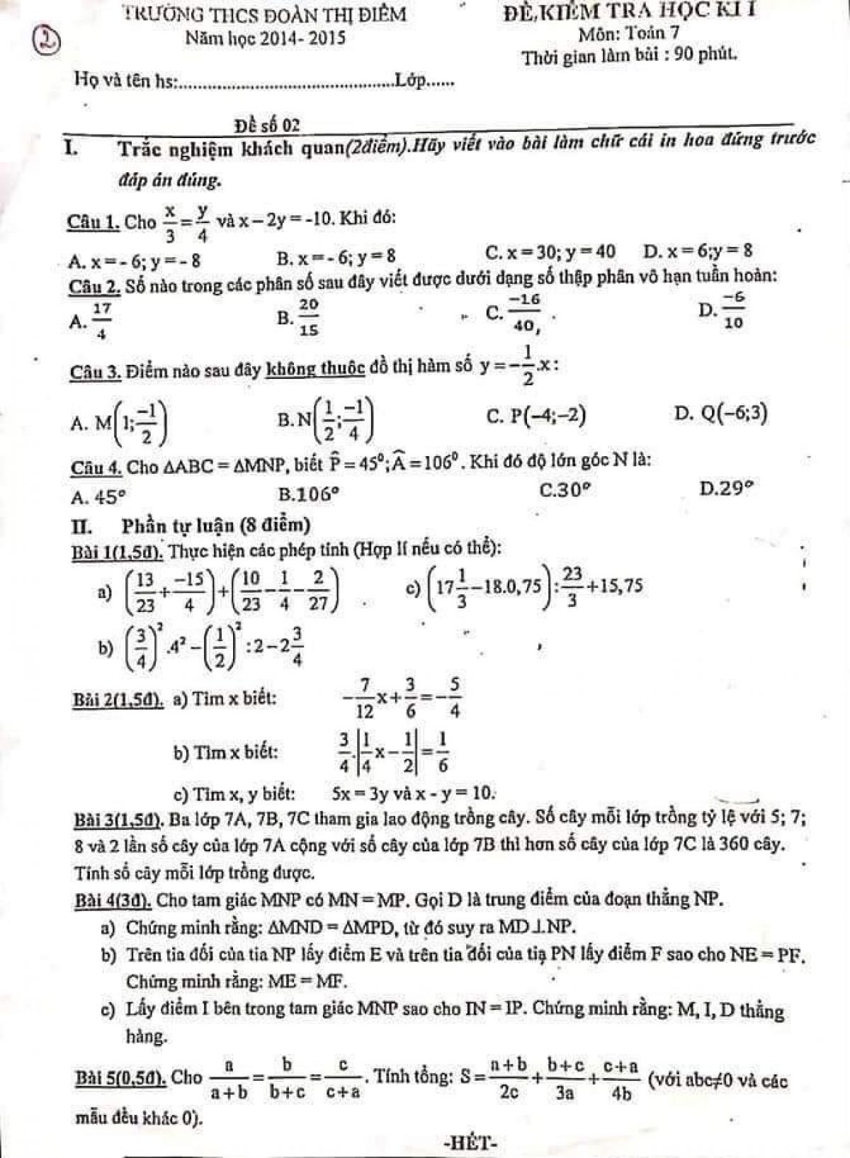
Đề kiểm tra học kì I môn Toán lớp 7 Trường THCS Lê Qúy Đôn năm 2016
Đề kiểm tra chất lượng học kì I môn Toán lớp 7 Trường THPT CHUYÊN Hà Nội - Amsterdam năm 2019
Đề thi HSG lớp 9 cấp quận môn Hóa Học tại Cầu Giấy năm 2018
Đề thi HSG lớp 9 cấp quận môn Hóa Học - vòng 1 tại Cầu Giấy năm 2017
Đề thi thử THPT Quốc Gia lần 1 môn Lịch Sử - mã đề 801 tỉnh Hà Tĩnh năm 2018
Đề thi chọn HSG tỉnh lớp 12 THPT và đáp án môn Ngữ Văn tỉnh Hải Dương năm 2017
Đề thi chọn HSG tỉnh THPT môn Ngữ Văn tỉnh Hưng Yên năm 2015
Đề thi chọn HSG tỉnh lớp 12 và đáp án môn Ngữ Văn tỉnh Hải Dương năm 2015
Đề thi chọn HSG lớp 12 THPT môn Lịch Sử tỉnh Quảng Nam năm 2013
Đề thi chọn HSG lớp 12 môn Lịch Sử Trường THPT Lý Thái Tổ, tỉnh Bắc Ninh năm 2014
Thêm...
Đề thi chọn HSG tỉnh lớp 12 THPT môn Ngữ Văn tỉnh Hải Dương năm 2012
Đề thi chọn HSG lớp 11 THPT và đáp án môn Lịch Sử Trường THPT Nguyễn Văn Trỗi, tỉnh Quảng Nam năm 2013
Đề thi HSG tỉnh lớp 9 THCS và đáp án môn Lịch Sử tỉnh Hải Dương năm 2016
Đề thi chọn HSG cấp thành phố môn Lịch Sử lớp 9 và đáp án tỉnh Bắc Giang năm 2016
Trang đầu
Trang trước
197
198
199
200
201
202
203
204
205
206
Trang sau
Trang cuối
Đăng nhập
Quên mật khẩu?
Quên tên đăng nhập?
Tạo tài khoản
Bài viết đáng quan tâm
KIÊN TRÌ LÀ SỨC MẠNH
NIỀM TIN VÀ SỰ ĐAM MÊ
Thầy Nguyễn Bá Thịnh Đồng hành cùng các bạn học sinh lớp 12 trong kỳ thi THPT quốc gia
NHỮNG CHA MẸ CÓ CON HỌC CẤP 1 TUYỆT ĐỐI KHÔNG ĐƯỢC BỎ QUA BÀI VIẾT NÀY!
NHỮNG ĐIỀU PHỤ HUYNH , HỌC SINH CẦN BIẾT VỀ ĐẶC ĐIỂM CÁCH THI CHỌN ĐẦU VÀO và PHONG CÁCH HỌC CỦA CÁC TRƯỜNG CHUYÊN
THÂN GỬI CÁC EM HỌC SINH LỚP 12 YÊU QUÝ
THÂN GỬI CÁC BẠN HỌC SINH LỚP 9 CHUẨN BỊ THI VÀO LỚP 10 THPT CHUYÊN
THÂN GỬI CÁC BẠN LỚP 5, LỚP 9 VÀ LỚP 12
Thầy Nguyễn Bá Thịnh: GỬI GẮM CÁC EM HỌC SINH CÙNG MÙA WORLD CUP.
ĐÔI ĐIỀU TÌM HIỂU VỀ TRUNG TÂM LUYENTHI CLC (Thầy Nguyễn Bá Thịnh)
Video
Liên Hệ Tư Vấn
0969.330.758
0969.330.758
Thống kê truy cập
Đang truy cập
394
Hôm nay
1394
Hôm qua
4311
Tuần này
1394
Tuần trước
39636
Tháng này
108598
Tháng trước
151838
Tổng cộng
5837381