Thư Viện - luyenthiclc.edu.vn
Giới thiệu
Trang chủ
Tin tức
Học sinh ưu tú
Đào tạo & Tuyển sinh
Thư Viện
Toán
Văn
Anh
Lý
Hóa
Sinh
Sử
Địa
Những gương mặt mới
Liên hệ
Download tài liệu
Nhận xét- Đánh giá
Trang chủ
»
Thư Viện
Loading...
Tất cả danh mục
Tin tức
Những gương mặt mới
học sinh ưu tú
Giới thiệu
Download
Địa
Sử
Sinh
Hóa
Lý
Anh
Văn
Toán
Bản Tin Thông Báo
Liên hệ
Nhận xét - Đánh giá
Cảnh báo
Thiết lập các thành phần VirtueMart cho mục menu
Theo dõi RSS này
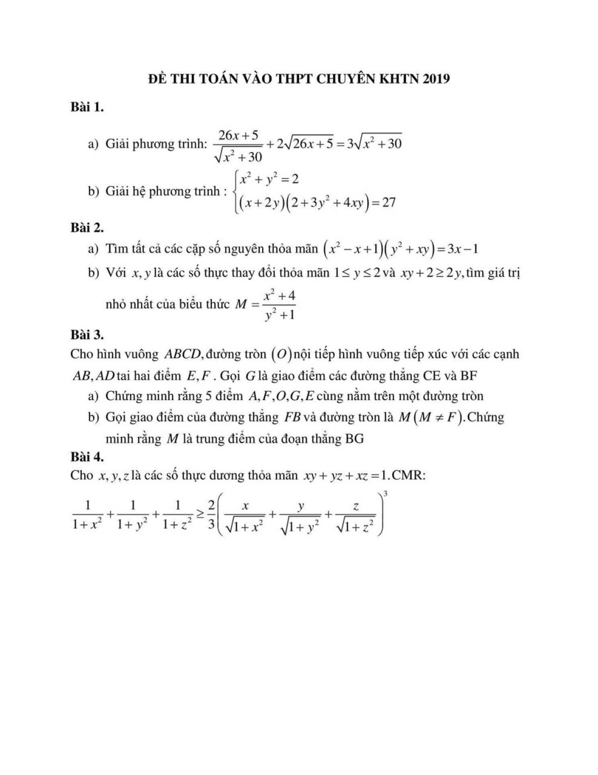
Đề thi tuyển sinh vào lớp 10 môn Toán Trường THPT CHUYÊN KHTN năm 2019
Đề kiểm tra giữa học kì I môn Toán lớp 6 Trường THCS & THPT Lương Thế Vinh năm 2020
Đề kiểm tra giữa học kì I môn Toán lớp 7 Trường THCS & THPT Lương Thế Vinh năm 2020
Đề kiểm tra giữa học kì I môn Toán lớp 8 Trường THCS & THPT Lương Thế Vinh năm 2020
Đề kiểm tra giữa kì I môn Toán lớp 9 Trường THCS & THPT Lương Thế Vinh năm 2020
Đề kiểm tra giữa kì I môn Toán lớp 9 Trường THCS & THPT Nguyễn Tất Thành năm 2016
Đề kiểm tra giữa học kì I môn Toán lớp 9 Trường THCS & THPT Nguyễn Tất Thành năm 2017
Đề kiểm tra giữa học kì I môn Toán lớp 9 Trường THCS & THPT Nguyễn Tất Thành năm 2018
Đề kiểm tra giữa học kì I môn Toán lớp 8 quận Tây Hồ năm 2020
Đề kiểm tra giữa học kì I môn Toán lớp 9 Trường THCS Nguyễn Công Trứ, quận Ba Đình năm 2020
Thêm...
Đề kiểm tra giữa học kì I môn Toán lớp 9 Trường THCS Nam Trung Yên quận Cầu Giấy năm 2020
Đề khảo sát chất lượng giữa học kì I môn Toán lớp 9 quận Hà Đông năm 2020
Đề khảo sát chất lượng giữa học kì I môn Toán lớp 6 quận Hà Đông năm 2020
Đề khảo sát chất lượng giữa học kì I môn Toán 7 quận Hà Đông năm 2020
Trang đầu
Trang trước
211
212
213
214
215
216
217
218
219
220
Trang sau
Trang cuối
Đăng nhập
Quên mật khẩu?
Quên tên đăng nhập?
Tạo tài khoản
Bài viết đáng quan tâm
KIÊN TRÌ LÀ SỨC MẠNH
NIỀM TIN VÀ SỰ ĐAM MÊ
Thầy Nguyễn Bá Thịnh Đồng hành cùng các bạn học sinh lớp 12 trong kỳ thi THPT quốc gia
NHỮNG CHA MẸ CÓ CON HỌC CẤP 1 TUYỆT ĐỐI KHÔNG ĐƯỢC BỎ QUA BÀI VIẾT NÀY!
NHỮNG ĐIỀU PHỤ HUYNH , HỌC SINH CẦN BIẾT VỀ ĐẶC ĐIỂM CÁCH THI CHỌN ĐẦU VÀO và PHONG CÁCH HỌC CỦA CÁC TRƯỜNG CHUYÊN
THÂN GỬI CÁC EM HỌC SINH LỚP 12 YÊU QUÝ
THÂN GỬI CÁC BẠN HỌC SINH LỚP 9 CHUẨN BỊ THI VÀO LỚP 10 THPT CHUYÊN
THÂN GỬI CÁC BẠN LỚP 5, LỚP 9 VÀ LỚP 12
Thầy Nguyễn Bá Thịnh: GỬI GẮM CÁC EM HỌC SINH CÙNG MÙA WORLD CUP.
ĐÔI ĐIỀU TÌM HIỂU VỀ TRUNG TÂM LUYENTHI CLC (Thầy Nguyễn Bá Thịnh)
Video
Liên Hệ Tư Vấn
0969.330.758
0969.330.758
Thống kê truy cập
Đang truy cập
1035
Hôm nay
956
Hôm qua
4311
Tuần này
956
Tuần trước
39636
Tháng này
108160
Tháng trước
151838
Tổng cộng
5836943